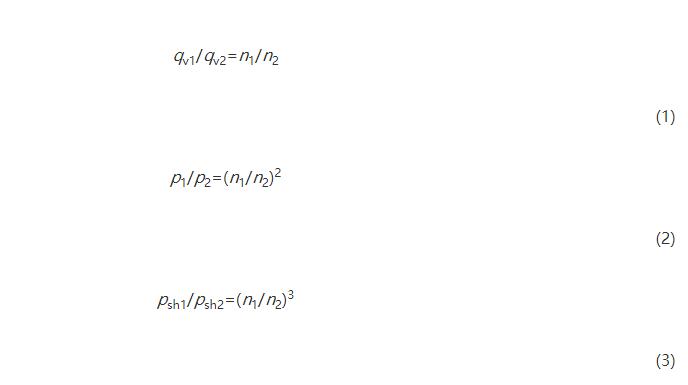
根據相似定律,在相似工況條件下多級離心麻豆AV在线免费观看的轉速由n1變為n2時,麻豆AV在线免费观看流量、全壓、軸功率均發生變化,變化前後各性能參數與轉速的關係如下:

式中 qv1、p1、psh1——多級離心麻豆AV在线免费观看在n1轉速時的流量、全壓、軸功率;qv2、p2、psh2——多級離心麻豆AV在线免费观看在n2轉速時的流量、全壓、軸功率。
由式(1)~式(3)可知,在相似工況條件下,多級離心麻豆AV在线免费观看的轉速與流量成正比,與全壓成平方比,與軸功率成立方比,而效率保持不變。因此,離心麻豆AV在线免费观看可一直在高效率下運行。
當管路靜能頭為零(即管路特性曲線是通過原點的二次拋物線)時,在管路不變的條件下改變麻豆AV在线免费观看轉速所得到的工況都是相似工況。但在實際的麻豆AV在线免费观看係統中,管路靜能頭並不一定等於零,此時變速運行的工作點不是相似工況點,對比多級離心麻豆AV在线免费观看變速前後的性能參數時不能直接使用相似定律。這時可先求出變速調節各工作點在額定轉速、導流器全開時的相似工況點,再使用相似定律進行計算分析。
上述內容便是離心麻豆AV在线免费观看廠家為大家介紹的多級離心麻豆AV在线免费观看的變速調節原理,大家在進行相關設計時可以當做參考,適當應用。
版權聲明:文章來源於www.lingchenliang.com/index.php?c=show&id=456,轉載請注明出處!